Discounted Cash Flow (DCF) is a widely used method in value investing to determine what a business may be worth based on its future potential. DCF allows investors to concentrate on the cash generation in the long term instead of short term market noise.
It is significant as it makes a person think in a disciplined way regarding growth, risk, and realistic expectations. It helps analysts to analyze the value of opportunities, avoid over-purchasing and make a better investment choice.
What is Discounted Cash Flow (DCF)?
Discounted Cash Flow (DCF) is a valuation method used to estimate the present value of an investment or business based on its expected future cash flows and discount them back to their present value using an appropriate discount rate.
DCF is commonly applied in stock valuation, corporate finance, and investment analysis to determine whether an asset, company, or project is undervalued or overvalued based on its ability to generate future cash flows.
What is the history behind the DCF method?
The Discounted Cash Flow (DCF) method has a long and interesting history that evolved alongside modern finance and valuation theory.
- Early Foundations (1600s–1800s)
The concept of the time value of money began with mathematicians like Halley and de Witt, who used discounting to value annuities and interest-based cash flows. - The Birth of DCF (Early 20th Century)
The idea of valuing businesses using discounted future earnings emerged, with Irving Fisher (1907) defining the link between interest rates, present value, and future income. - Formalization by John Burr Williams (1938 )
John Burr Williams introduced the modern DCF model in “The Theory of Investment Value,” defining intrinsic value as the present value of future dividends. - Integration with Modern Finance (1950s–1970s)
With the rise of CAPM and Modern Portfolio Theory, DCF became a core valuation method in corporate finance and investment analysis. - Widespread Adoption (1980s–Present)
DCF became the standard tool for valuing companies, projects, and investments, supported by financial modeling and software advancements.
The use of DCF is still applicable today since it places the value of a business in terms of how much money it will generate tomorrow, which makes it an easy and effective means of determining true value.
How does discounted cash flow work?
The discounted cash flow (DCF) works on a simple principle “time value of money”, which means money today is worth more than the same amount of money in future. This is because this money can be invested to earn more money over time.
Discounted cash flow (DCF) method helps investors or businesses to find out whether an investment is really worth today by looking at the money it’s expected to earn in the future. This amount of money expected to be generated by the investment in the future is called the future cash flow.
This future cash flow is then discounted by discount rate to make futures money equal to today’s money, which covers account risk, inflation, and the return you could earn elsewhere.
DCF Value > Market Price → Good Deal (Undervalued)
DCF Value < Market Price → Not a Good Deal (Overvalued)
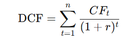
What is the formula for discounted cash flow?
The formula for discount cash flow is

Where,
CFₜ = Cash flow in year t
r = Discount rate (the required rate of return)
t = Time period (year 1, 2, 3, … n)
n = Total number of years
How to calculate discounted cash flow?
To calculate Discounted Cash Flow (DCF), we will assess future cash flows from an investment and discount them to their present value.
Let’s now understand how to calculate cash flow step by step with an example where you expect an investment to generate the following cash flows over the next 3 years.
| Year | Expected Cash Flow (₹) |
| 1 | 10,000 |
| 2 | 12,000 |
| 3 | 15,000 |
With your discount rate ( r ) is 10%.
Step 1: Apply the DCF Formula
So we’ll discount each year’s cash flow
| Year | Cash Flow (CFₜ) | Discount Factor (1 + r)ᵗ | Present Value (PV = CFₜ / (1 + r)ᵗ) |
| 1 | ₹10,000 | (1.10)¹ = 1.10 | ₹10,000 ÷ 1.10 = ₹9,091 |
| 2 | ₹12,000 | (1.10)² = 1.21 | ₹12,000 ÷ 1.21 = ₹9,917 |
| 3 | ₹15,000 | (1.10)³ = 1.331 | ₹15,000 ÷ 1.331 = ₹11,273 |
Step 2: Add Present Value
Total DCF Value = 9,091 + 9,917 + 11,273 = ₹30,281
Step 3: Compare with Cost or Price
If the investment costs ₹25,000, then the investment is worthwhile.
DCF (₹30,281) > Cost (₹25,000)
If it costs ₹35,000, then the investment is not attractive.
DCF (₹30,281) < Cost (₹35,000)
In this way, the DCF helped us estimate the Intrinsic value and decide whether it’s a buy or avoid opportunity.
What is the use of the DCF method?
There are four major uses of the DCF method. The uses are described below.
- Valuation of Stocks, Businesses, and Investments: The DCF technique identifies the real or intrinsic value of a business, investment or stock. It does this by estimating future cash flows and bringing them to the present value. This aids in determining whether it is under or overpriced in the market.
- Used in Mergers & Acquisitions (M&A): DCP is used to determine the fair value of the company in the case of merger and acquisition. It helps the buyers and sellers to know the true worth of a business as per its anticipated future earnings.
- Helps in Capital Budgeting Decisions: The DCF is used by companies in investment decisions on new projects or assets. They can also determine whether a project is financially viable by comparing expected cash flows on a present value basis and the cost of a project.
- Comparing Different Investment Opportunities: DCF gives investors an opportunity to rank various investments on the same basis. It aids in the determination of the better potential against the risk of the option that provides the best future returns by taking them into the present value.
DCF delivers precise, fundamentals-driven insights essential for informed financial choices.
What is the terminal value of DCF?
The terminal value of DCF represents all future cashflow beyond the projected period, in other words, it captures the worth of a business after the detailed projection years end. The terminal value provides an approximation of all such future incomes in a single value since it is difficult to determine cash flows in the distant future. It can usually constitute a significant part of the overall DCF value.
There are two main methods to calculate terminal value of DCF?
- Perpetuity Growth Method (Gordon Growth Model): This method calculates terminal value by assuming cash flows will grow at a constant rate forever.

where
FCFₙ = free cash flow in the final forecast year,
g = perpetual growth rate,
r = discount rate (usually WACC).
- Exit Multiple Method: Assumes the business will be sold at the end of the forecast period based on a market multiple, such as EV/EBITDA.

In short, terminal value estimates what the company will be worth after the forecast period, and this value is discounted back to present value to complete the DCF valuation.
What are the advantages and limitations of discounted cash flow methods?
The advantages and limitations of discounted cash flow methods are mentioned below in the table.
| Aspect | Advantages | Limitations |
| 1. Basis of Valuation | Based on future cash flows, providing a realistic view of business value. | Relies heavily on estimated future cash flows, which can be uncertain or inaccurate. |
| 2. Time Value of Money | Consider the time value of money by discounting future cash flows to present value. | The choice of discount rate can significantly affect the final valuation, making it subjective. |
| 3. Intrinsic Value | Helps determine the intrinsic or fair value of a business, independent of market conditions. | Does not account for market sentiment, competitive dynamics, or sudden economic changes. |
| 4. Decision-Making Tool | Useful for long-term investment and project evaluation in capital budgeting. | Less suitable for short-term or rapidly changing businesses with unpredictable cash flows. |
| 5. Flexibility | Allows adjustments for different scenarios, growth rates, and risk levels. | Requires many assumptions, and small changes in inputs can lead to large differences in results. |
Discounted cash flow (DCF) methods are valuable for estimating intrinsic value during fundamental analysis based on future cash flows and the time value of money. However, they depend heavily on uncertain projections and assumptions, so results must be interpreted with caution and complemented by other analyses.
How accurate is DCF method?
The accuracy of the Discounted Cash Flow (DCF) method is moderate and dependent entirely on its quality and reliability of its input assumption. While the DCF method is useful to find intrinsic value, especially well established companies with stable cashflow, it is not perfectly accurate because it relies on predicting future cash flows, discount rates, and terminal value.
Even small changes in these inputs can significantly change the final valuation, making DCF more of a well-structured estimate than a precise valuation tool.
What is the difference between DCF & NPV (Net Present Value)?
The difference between DCF & NPV methods is mentioned below in the table.
| DCF (Discounted Cash Flow) | NPV (Net Present Value) |
| A method to estimate value | A result/output of the DCF method |
| Calculates present value of future cash flows | Shows whether an investment is profitable |
| Used mainly for valuation | Used mainly for decision-making |
| Process of discounting cash flows | Final number after discounting cash flows and subtracting cost |
| Answers: “What is it worth?” | Answers: “Is it worth doing?” |
This comparison clarifies that NPV is essentially the DCF calculation adjusted for the initial cash outflow to show net gain or loss.
What are the other ways to do valuation?
There are 5 major other ways to do valuation. The ways are Price-to-Earnings (P/E) Ratio, Price-to-Book (P/B) Ratio, Enterprise Value to EBITDA (EV/EBITDA), Precedent Transactions Analysis, and Dividend Discount Model (DDM).
Price-to-Earnings (P/E) Ratio
P/E ratio compares share price to its earning per share. This method helps investors to understand how much they are paying to earn each unit of profit.
- High P/E → High Growth Expectation
- Low P/E → Undervaluation or Slow Growth Expectation
Price-to-Book (P/B) Ratio
Price-to-Book(P/B) Ratio is a method measures the company’s market value against its book value (Net Asset). This method is useful in asset heavy industries where asset plays a major role in valuation.
- P/B < 1 → Stock Undervalued Relative to Assets
- P/B > 1 → Market Values Company Above Its Assets (Growth Premium or Possible Overvaluation)
Enterprise Value to EBITDA (EV/EBITDA)
This method compares a company’s total value including debt to its operating earnings. It is helpful for comparing companies with different capital structures or in sectors where debt usage varies widely.
- Low EV/EBITDA → Undervaluation
- High EV/EBITDA → Strong Growth Projection (or Possible Overvaluation)
Precedent Transactions Analysis
This method values the company by studying the prices that have been paid on similar companies in the previous merger and acquisitions. It gives actual market based evidence of what the buyers are ready to pay. It is also frequently applied in investment banking and in the buyout negotiation situation where strategic premiums are prevalent.
Dividend Discount Model (DDM)
DDM calculates the worth of a company by valuing the future dividend payments by discounting them. It is most effective with mature and stable companies that have dividend policies that are stable. The fact that dividends are real and determinable makes such an approach give a direct connection between cash payments and valuation.
This mix provides insights into value from different angles including earnings capacity, asset value, market comparables, and actual transaction prices.


No Comments Yet.